Cationic guar gum(DH-CGY)
(DH-CGY for tobacco)Product profile
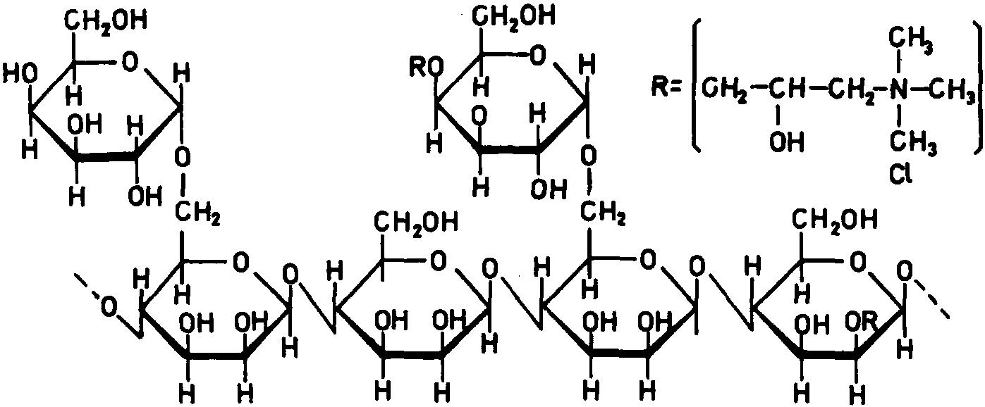
INCI Name:Guar Hydroxypropyltrimonium Chloride
CAS: 65497-29-2
Structural Formula of Main Functional Components:

As a natural galactomannan vegetable gum, guar gum has no toxicity and odor. After cationic modification, it can significantly improve the retention rate of fine components. Cationic guar gum is a cationic polymer.Its high degree of cationic substitution and large molecular weight make the polymer adsorbable on the anionic surface.
Product mechanism
Generally, cationic retention aids flocculate with negatively charged fiber materials, causing the colloidal aggregation between fine components and fibers to improve the retention of fine components on the network.
Technical specifications

Used in the manufacture of tobacco sheets.
Recommended dosage
Generally recommended dosage is 0.1%-1.0%
Packaging Storage
Package: Cardboard drum (lined with polyethylene plastic bag); 25kg/drum.
Storage: Please store in a cool and dry place with a shelf life of 24 month.