阳离子瓜尔胶DH-CGY (烟草专用)
基本信息
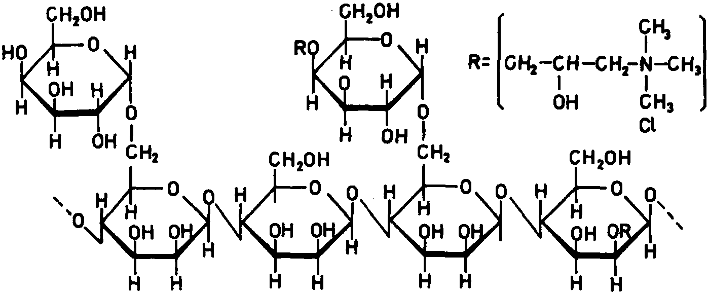
INCI中文名:瓜儿胶羟丙基三甲基氯化铵
INCI英文名:Gura hydroxypropyltrimonium chloride
CAS :65497-29-2
建议添加量:通常为0.1%-1.0%
主要功能成分结构式:
产品介绍
瓜尔胶作为一种天然的半乳甘露聚糖类植物胶, 本身没有任何毒性, 无异味, 经过阳离子改性后能够显著地提高细小组分的留着率,阳离子瓜尔胶是一种阳离子聚合物。其高的阳离子取代度及大分子量,令聚合物可吸附在阴离子表面。
通常阳离子助留剂与带有负电荷的纤维物料发生絮聚, 引发细小组分间以及细小组分与纤维间的胶体聚集 , 以提高细小组分在网上的留着。
适用于用于烟草薄片的制作。
技术指标
检验项目 | 技术指标 |
外 观 | 浅黄色粉末 |
粘度(25℃,1%,mpa.s,3号12转/分,DV-1+PRO) | 1000-3000 |
pH值(25℃,1%) | 9-11 |
干燥失重(%) | ≤12 |
氮含量(%) | 1.2-1.7 |
细度(150目,%) | ≥90 |
包装和储存
包装:净重 25Kg/桶,纸板桶,内衬聚乙烯袋;
储存:存放于阴凉干燥处,拆分后请注意防潮,保质期24个月