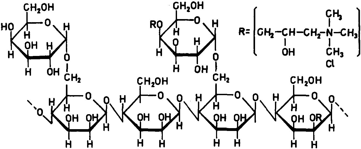
阳离子瓜尔胶-DH-G14S
INCI中文名:瓜儿胶羟丙基三甲基氯化铵
C A S 号 :65497-29-2
主要功能成分结构式:
阳离子瓜尔胶是一种可提供调理和增稠双重功效的阳离子聚合物。其高的阳离子取代度及大分子量,令聚合物可吸附在阴离子表面(如:皮肤、毛发)。
洗手液、洗面奶和液体皂(提供皮肤干时的柔软、光滑和滋润肤感及湿时的无滑腻)。
发用品:良好的发泡稳定作用,抗静电作用,对头发的角蛋白具有缔合作用,改善头发的湿梳性和干梳性,使头发长期保持光泽,柔软,有弹性。
理化指标

包装:净重25Kg/袋,或25Kg/桶;